鋰離子電池電解液知識及電化學測試方法
鋰離子電池電解液知識及電化學測試方法。本文內容主要有以下三點:
一、鋰離子電池電解液
二、鋰離子電池電解液添加劑
三、鋰離子電池常用電化學分析方法
一、鋰離子電池電解液
·電解液是鋰離子電池的重要組成部分,在電池正負極之間起著輸送和傳導電流的作用。
·電解液選擇在很大程度上決定著電池的工作機制,影響著電池的比能量、安全性、循環性能、倍率性能以及電池成本等等。所以,鋰離子電池電解液體系的優化已經引起人們極大的關注。
·鋰離子電池常用的電解液是在有機溶劑中溶有電解質鋰鹽的離子型導體。
實用鋰離子電池的電解液應具備以下性能:
·離子電導率高(高介電常數,低粘度),電子電導率低;
·電化學穩定的電位范圍寬;
·熱穩定性好,使用溫度范圍寬;
·化學性能穩定,與電池內集流體和活性物質不發生化學反應。
·安全(高閃點)、無毒、經濟。
鋰離子電池電解液
·鋰離子電池電解液是在有機溶劑中溶有電解質鋰鹽的離子型導體。
·含LiPFg的有機電解液,具有較好的電導率和電化學穩定性,不腐蝕集流體。
·實際的鋰離子電池電解液多采用將高介電常數溶劑與低粘度溶劑按一定比例混合而成,并加入某些特定添加劑,來滿足電池對電極容量、倍率充放電、正負極匹配、循環壽命等方面的性能要求。
1.電解質鋰鹽
·導電鋰鹽在鋰離子電池中起著傳輸離子和傳導電流的作用,對電池性能有著重要的影響。合適的導電鋰鹽要滿足許多條件,如有較好的溶解性、較高的電導率、較好的化學穩定性、較寬的電化學窗口、較高的鋁腐蝕電位等,并且要使鋰離子在正負極有高的嵌入量和較好的可逆性,另外成本低、無污染、無毒害也是必須要考慮的。
·按陰離子中心原子的不同劃分,則可分為磷系鋰鹽,硼系鋰鹽,甲基系列鋰鹽,亞胺系列鋰鹽以及其它導電鋰鹽。
·已報道的可用于鋰離子電池的鋰鹽有很多,大體.上可分為有機鹽和無機鹽。目前較常用的是無機陰離子導電鋰鹽,主要為LiPFg、LiBOB、LiBF4、LiTFSI等 幾種;
磷系列鋰鹽-LiPF6
·磷系列鋰鹽主要包括無機鋰鹽LiPF6以及LiPF6中的部分氟原子為全氟烷基取代后的鋰鹽、有機磷酸酯鋰鹽等。
·LiPF6的熱分解溫度低,僅為30°C,易分解為PF5和LiF,但LiPF6通過純化,溶于有機溶劑中后分解溫度可達80-130°C,常溫下能夠避免分解以及引起的電解質聚合,0.1mol/L的LiPF6在PC中的氧化電位為6.0V,LiPF6的電導率高,25°C0.1mol/L的LiPF6在PC/DMC(1:2的體積比)溶液中電導率達到4.4Ms/cm,內阻小,可實現快速充放電,而且LiPF6碳陽極有一個相對較高的放電容量,所以目前大多數電解液都用LiPF6作為電解質鹽;但LiPF6的高溫性能差,而且也存在著制備過程復雜,工藝條件苛刻,遇水易分解,價格昂貴等問題。

LiBOB的陰離子以硼原子為中心,呈獨特的四面體結構。測試結果顯示,LiBOB品體中鋰與陰離子中草酸官能團的兩個氧原子配位,鍵長大約是0.19~0.21nm,夾角O-Li-O幾接近90°。同時,鋰還與分屬于三個不同陰離子的個氧原子相互作用(鍵長大約是0.21~0.30nm),形成層狀的晶體結構。這種五重配位的形式使得鋰很容易再結合其它分子,形成更穩定的八面體配合結構。因此,LiBOB具有很強的吸濕性,與空氣接觸后常以更穩定的六重配位Li[B(C20 )] H2O結晶水合物的形式存在。
[1]李世友,馬培華,滕祥國等化學進展,2007年, 第19卷,第5期,695.
從LiBOB的結構不難看出,LiBOB中不含——F、——SOg和——CH,一般認為正是這幾種基團導致了鋰鹽的熱穩定性差、腐蝕鋁箔集流體和低電導率。由于B同具有強烈吸電子能力的草酸根中的O相連,因此電荷分布比較分散,使陰、陽離子鍵的相互作用較弱,為該鹽在有機溶劑中具有高的溶解度、電導率和熱穩定性提供了保證。另外,LiBOB的分子量只有194,相對于另一可能的鋰鹽LiN (CFgSO3)2具有更高的比能量,確保LiBOB在鋰離子電池中作鋰鹽使用。
[1]康曉麗,仇衛華,劉興江電源技術。2008年, 32卷,11期,804.
在PC溶液中能夠形成穩定有效的SEI膜
電解液的成分決定了負極表面形成SEI膜的好壞。LiPF6與EC或EC的混合物形成的電解液之所以能在鋰離子蓄電池上使用,主要是首次放電過程中能在石墨電極上形成穩定有效的SEI膜,支持鋰離子的插入和捅出同時阻止電解液的進一步氧化和還原,提高電解液的穩定性。
作為EC的同系物,PC的低溫性能更好,但PC構成的電解液與翠不匹配,常使石墨表面分解或剝落,無法應用于鋰離子蓄電池。現有研究表明,LiBOB與PC(或含PC的混合物)形成的電解液卻能形成穩定有效的SEI膜,電池能夠完成充放電,不會出現石墨剝落現象。
[1]李世友,馬培華,滕祥國等.化學進展,2007年, 第19卷,第5期,695.
·LiBOB 在石墨電極表面具有優良的成膜性質,BOB-可在較高的負極電位(1.8V vs. Li/Li+)發生SEI成膜反應;
·紅外光譜研究表明,反應首先生成LiBOB重排后的產物三角形硼酸酯(BO3)和草酸酯類化合物,.上述物質可進一步與烷基碳酸鋰結合,形成的SEI膜更加均勻、致密、有韌性。
·在1 mol/L LiBF4/PC+EC+EMC(體積比為l:1:3)中添加2%的LiBOB,即可大幅提高首次充放電庫能效率、循環壽命和高溫循環性能。

·LiBF4/PC電解液的低溫性能和大電流放電性能較好,但無法形成穩定的SEI膜,使應用受阻。S.S.Zhang[1]等發現,在LiBF4中加入少量的LiBOB ,即使在PC含量很高時也能促進SEI膜的形成,原因是LiBOB參與了SEI膜的形成。
·劉永欣等[2]人利用循環伏安和充放電循環測試,研究了負極材料(人造石墨和MCMB)與不同濃度LiBOB/PC電解液的相容性。當LiBOB濃度為1mol/L時,兩種材料均能生成穩定的SEI膜;當濃度為0.5mol/L時,MCMB可生成穩定的SEI膜,而人造石墨只有在電解液含EC共溶劑時,通過EC和LiBOB的共同作用,才能生成穩定的SEI膜。這說明石墨表面生成的SEI膜,不僅與電解液的組成和濃度有關,還與石墨的種類及結構有關。
[1] ZHANG S S, XU K, JOW T R. J Power Sources, 2003, 115:137-142.
[2]劉永欣,付延鮑,馬曉華等電池2006,36(5).
高溫條件下容量不衰減
LiBOB與傳統鋰鹽LiPF6、LiBF4及一些磺酰亞胺鋰鹽相比,還具有構成的電池在高溫條件下放電容量不衰減的特點。對比不同溫度下LiNiO2 / C在LiPF6/EC-DMC和LiBOB / EC-DMC電解液中的循環效率可以看出,在前50次循環過程中,兩種電解液的性能相差不大。但70°C下當循環次數超過50時,LiPF6/EC-DMC電解液的能量明顯下降,循環77次后放電能量只有原來的56%;而LiBOB / EC-DMC電斛液在60°C或70°C較高的溫度下,直到第100個循環放電容量仍基本保持不變,庫侖效率可維持約97%這說明LiBOB構成的電液在溫度較高時具有非常好的性能和長時間放電能量不衰減的特點。
鋁的完美鈍化
·用作集流體的鋁由于質量輕、耐腐蝕、成本低等特點,存鋰離子電池中有著不可替代的作用。鋁的保護主要是靠其表面生成的鈍化膜,而非水溶液中生成的鈍化膜的成分、結構主要是由溶質決定。因此,用作鋰離子蓄電池的鹽或電解液在高電壓下不能腐蝕鋁,這是它們能夠得到應用的基木要求。
·例如:具有良好綜合性質的LiN(CFSO3)2由于腐蝕鋁,限制了它在鋰離子二次電池中的使用。
[1]宋印濤,李連仲,丁靜,李艷平,浙江化工.2010年,41卷, 第8期,24.
優點
除了具有優異的高溫性能,能夠在負極表面形成致密的SEI膜之外,LiBOB還有很多其他的優點[1]:
(1)對水相對不敏感(相對于LiPF6來講):通過比較含水量均為1mg/L的LiBOB基和LiPF6基電解液發現,使用LiBOB電池的首次循環效率為87%,循環100次后,容量保持率為75%;而使用LiPF6電池的首次循環效率為82%,循環50次后,容量保持率僅有58%;
(2)制備所用的原料價廉易得,制備方法相對簡單:基本上是以廉價的LiOH或Li2CO3、草酸、H3BO3或B2O3為原料,以水、甲苯或四氫呋喃等作為反應介質;
(3)不會腐蝕正極集流體鋁箔:電化學阻抗研究表明,BOB-陰離子能在高于PF6的電位下,在鋁箔上形成很好的鈍化膜。
[1]康曉麗,仇衛華,劉興江.電源技術。2008年,32卷, 11期。 804.
缺點
LiBOB存在的缺點主要有以幾個方面:
(1)電導率的問題[1]
LiBOB在部分低介電常數的溶劑中(特別是線性碳酸酯類)幾乎不溶解。例如,它在EC / DMC(3:7)的混合溶液中的溶解度只有0.80 mol/L,;而且LiBOB在碳酸酯混合物中的電導率小于常用的LiPF6電解液。
LiBOB電解液體系的低溫性能也不如LiPF6。如1 mol/Kg LiBOB / EC-DMC溶液在-20°C時只能維持室溫條件下能量的19%,而LiPF6卻能維持74%。解決這些問題需要優化電解液(特別是溶劑)的組分和組成;己有研究表明,在EC-EMC中加入PC,則能顯著提高LiBOB電解液的低溫性能。
(2)對水分的敏感性
LiBOB對空氣中的水分非常敏感,容易分解成草酸酯等物質。
(3)安全性
LiBOB所構成的電解液的安全性尚待詳細地研究。已有研究表明,LiBOB與常見的金屬氧化物構成的正極材料之間具有高的反應活性。而且,在使用過程中LiBOB電解液會分解產生氣體。這些氣體可能是LiBOB陰離子的分解產物,也可能來源于LiBOB中的雜質。氣體的產生將引起電池內部壓力的增加,帶來不安全因素。
(4)LiBOB濃度越大,石墨負極的SEI膜電阻越高。作為電解液的添加劑,使用濃度在1%-5%之間時可以避免LiBOB不足,并改善碳負極的界面性質。
康曉麗,仇衛華,劉興江電源技術。2008年,32炎, 11期, 804.
·LiBOB 在碳酸酯類有機溶劑中的溶解性及電導率都低于LiPF6,導致制備的電池的大電流放電性能不好。在同樣的碳酸酯類溶劑體系中,LiBOB的低溫性能不如LiPF6。要提高LiBOB體系電解液的性能,必須開發新的溶劑體系。
·目前,提高LiBOB溶解度的途徑主要有兩條:
①尋找合適的溶劑配比,使鋰鹽既易溶解,又不會使溶液黏度過大;
②改變提純時的析晶溫度使晶粒盡可能細。根據結晶學原理,析晶溫度不同,晶體成核和長大的速度不同。對BOB-這種弱配位離子,低粘度溶劑是得到高電導率的關鍵。
康曉麗,仇衛華,劉興江電源技術。2008年, 32卷,11期, 804.

LiBF4晶體屬于三方晶系的P3121空間群,Li+和周圍的四個BF4-中的F配位。而與Li同系的Na的四氟硼酸化合物的配位數為8,KBF4的配位數為10,甚至LiCIO4中Li+的配位數都為6。ClO4與BF4-的空間結構都是正四面體,而且前者比后者的體積大,這就使LiBF4品體具有較大的分子單元體積。
鋰離子電池LiBF4基液體電解質研究進展,張昕岳,周園,鄧小宇,杜秀月,化學通報,2007,70 .(12)
·在幾種常用的電解質鹽中HF的含量以這樣的順序遞減:
LiPF6>LiTF(三氟甲磺酸鋰)>LiTFSI(二(三氟甲磺酰)亞胺鋰)>LiCIO4>LiBF4,因此LiBF4有明顯的優勢,而且LiBF4比LiPF6穩定;
·LiBF4對環境水分不是太敏感,熱穩定性比LiPF6強,毒性沒有LiAsF6大,安全性比LiCIO4高,而且LiBF4能有效的防止AI集電極的腐蝕(AI由于密度小、能形成一層表面氧化膜,這使得其能承受較高的電壓,從而使其廣泛地作為鋰離子電池陰極集電極) ;
·但是LiBF4的離子電導率較低,而且單獨使用LiBF4時不能在碳負極上形成穩定的SEI膜。
鋰離子電池LiBF4基液體電解質研究進展,張昕岳,周園,鄧小宇,杜秀月,化學通報,2007,70 (12)
·與其他幾種常用的電解質鹽相比較而言,具有較小的體積,因此LiBF4有機溶液體系的粘度較小,但LiBF4只具有中等的離子電導率;由此可知溶液的粘度并不是決定電解質溶液電導率大小的唯一因素。可能是因為體積較小,與Li+的結合緊密,使LiBF4難以解離,導致其電導率降低。
·電解質電導率的大小在一定程度上取決于鋰鹽形成離子對的難易程度,將電解質鹽溶解在既有高介電常數(可以促進電解質鹽的解離)又有低粘度(有利于離子的遷移)的有機溶劑中可以提高電解質的電導率。
鋰離子電池LiBF4基液體電解質研究進展,張昕岳,周園,鄧小宇,杜秀月,化學通報,2007,70 (12)
·BF4-的負電荷大于PF6-,因此更容易與Li+形成緊密的離子對,這使得LiBF6比LiPF6更難解離。因此可以通過添加與Li+的結合能力比BF4-強的Lewis堿如磷酸三甲酯(TMP)等來取代與Li+結合,從而促進LiBF4解離。
·過程可以用方程式來表達:
(Li+-BF4-)+Lewis base (Li+>Lewis base)+ BF4-
·由于BF4-難以解離,LiPF6中Li+的溶劑化數目約為LiBF4中Li+的溶劑化數目的兩倍,而且LiPF6中Li+與PC橋連在一起,使得LiPF6/PC體系的粘度遠大于LiBF4/PC體系。
1.低溫環境的應用
(1)在低溫下,電解質的離子傳導率可能不是限制鋰離子電池性能的主要因素;
(2)LiBF4基電解質具有較小的電荷轉移電阻;
Zhang和Xu[1]等報道的將LiBF4溶解在PC / EC / EMC(質量比1: 1: 3)有機溶劑體系中組成的電解質,直到溫度降低到-40°C都表現出了良好的性能。但LiBF4基電解質體系具有較高的凝聚溫度,如果不解決這個問題,這將在很大程度上限制其使用的低溫下限。
Jow等[2]認為通過選擇溶劑體系,找到介電常數和粘度的平衡點,可以開發出可用于較寬溫度范圍的LiBF4和雙乙二酸硼酸鋰(LiBOB)基的電解質體系。
[1] ZHANG S S, XU K, JOW T R.2003, 115:137-142.
[2] T R Jow, M S Ding, K Xu et al. Journal of Power Sources, 2003, 119-121:343~348.
2.高溫環境的應用
高溫性能對于鋰離子電池來說也是需要解決的問題之一。LiBF4熱穩定性比LiPF6要好,這使得有可能將其用于高溫環境下。如果采用LiBF4基電解質體系,當溫度高于80°C時,鋰離子電池不僅容量迅速下降,庫侖效率也大大下降,而且這些損害即使將鋰離子電池再次置于常溫下都是不可修復的[1]。
這可能是由于電解質與電極材料發生了反應,而導致容量下降。但在此溫度下LiBF4本身還是穩定的。因此電解鹽的穩定性不是決定電解質體系在高溫下穩定性的唯一決定因素。雖然目前開發高溫下LiBF4基電解質體系沒有統一的理論指導,人們還是進行了很多實際的嘗試。
[1] S S Zhang, K Xu, T R Jow. J. Electrochem. Soci., 2002, 149 (5): A586-A590.
Norio等人[1]發現對于LiCoO2正極材料,當采用LiBF4. EC / GBL電解質體系時,直至85°C都表現出了較高的庫侖效率和能量密度以及較好的穩定性。碳酸亞乙烯酯(VC)的加入使鋰在高溫下的循環效率得到了極大的提高[2]。
一直以來人們都很少采用兩種電解質鹽的混合體系,因為這樣做效果通常都不太明顯,但有趣的是當將LiBF4和LiBOB混合使用時,Li/LiFePO4電池體系的性能得到了很大的改善,而且這種電池體系有可能在一50°C到80°C的溫度范圍內使用[3]。
[1] T Norio, O Takahisa, H Hiroyuki et al. J Electrochem, Soc., 2002, 149(1): A9~A12.
[2] H Ota, K Shima, M Ue et al. Electrochimica Acta, 2004, 49(4): 565-572.
[3] S S Zhang. K Xu, T R Jow. J Power Sources, 2006, 159(1): 702-707.
要開發LiBF4基電解質體系,首先有幾個問題必須弄清楚:
·決定LiBF4的電導率的因素有哪些?
·在特定的環境下哪些因素是決定性的?
·為什么其不能在碳負極表面形成穩定的SEI膜?
·為什么在溫度升高而LiBF4本身在這個溫度范圍內還穩定時,電解質體系就變得不再穩定?
·由于LiBF4對HF較為敏感,因此如何防止其釋放出HF也是一個需要解決的問題。
鋰離子電池LiBF4基液體電解質研究進展,張聽岳,周園,鄧小宇,杜秀月.化學通報,2007.70 (12).
開發LiBF4基電解質體 系將主要集中在以下這些方面:
·具有中等體積的陰離子對于改善電導率是非常有幫助的,開發新的具有中等體積的LiBF4的衍生物如Li[CnF2n+1BF3]和LiODFB引等是很有吸引力的,后者既有LiBF4的優點又具有LiBOB的優點,開發新的具有中等體積的LiBF4的衍生物這個領域將會吸引越來越多研究者的目光。
·改進溶劑體系依然是很有吸引力的-一個研究方向,因為對溶劑體系的改進不僅可以改善電導率而且還可能利用電解質鹽的其他一些優點。在電解質體系中從來不會缺少添加劑的身影,它將繼續起著彌補鋰離子電池不足之處的作用,因為這種方式不僅簡單而且有效。
鋰離子電池LiBF4基液體電解質研究進展,張聽岳,周園,鄧小宇,杜秀月.化學通報,2007.70 (12).
二氟草酸硼酸鋰-LiODFB
·二氟草酸硼酸鋰,其陰離子結構結合了LIBF4,LIBOB陰離子的結構各一半,因此結合了兩者的優勢,LIODBF基電解液在寬溫度范圍內具有優良的離子導電性,高電位下可以使鋁箔流體完美鈍化,當用于PC溶劑中時支持石墨的循環性能,與BOB同樣具有很好的高溫性能,在石墨負極形成的SEI膜與BOB相比,阻抗相對較小,可以避免因此帶來的功率密度降低的缺陷。
·在鏈狀碳酸酯溶劑中的溶解度較大,而且在負極表面形成穩定的SEI膜,從而有效保護負極不受電池中其他組分的破壞,同樣在PC溶劑中形成穩定的SEI膜,由于ODFB具有LIBF4的部分結構,所以低溫性能有所提高,并且不像LIBOB對雜質和水分那么敏感,研究表明,ODFB及電解液性能良好,而且用作添加劑時同樣表現出無可比擬的優良性能。
甲基系列鋰鹽
·該類鋰鹽主要是含有CF3SO2基團的鹽,如LiC(CF3SO2)3,LiCH(CF3SO2)2,LiCF3SO3等,由于在陰離子中引入了-F,-SO2吸電子基團,陰離子半徑較大,使得鋰鹽的熱穩定性和電化學穩定性,水解穩定性有了很大的提高。
·其中LiC(CF3SO2)3的各項性能較好,熔點為271-273℃,熱分解溫度高達340°C以上,為目前有機電解質鋰鹽中穩定性最好的鋰鹽;其電導率比其他有機鋰鹽都要高,在1.0mol/L電解質溶液中可達1.0x10-2S/cm。其EC/DMC電解質在-30°C都不發生凝固,且在此低溫下電導率還在10-3S/cm以上,這主要歸結于它的離子半徑較大,其陰離子半徑在目前所見電解質鹽中最大,故較易電離,對正極集流體有較好的穩定性,氧化電位為5.3V.
甲基系列鋰鹽
·從循環性能和穩定性考慮,LiCFgSO3很具吸引力,它同LiPF6相比,熱穩定性好,在碳陽極上可以提供一-個較穩定和較高的放電容量,LiCF3SO3很適用于碳纖維材料陽極,含有LiCF3SO3溶劑的缺點是導電性差,其電導能力只是相當于LiPF6的一半,這就限制了它的廣泛應用,而在PC/DME(體積比1:2)溶劑中,濃度為0.1mol/L,室溫下電導率達到2.3Ms/cm,且有較高的抗氧化電位4.8V,但是在鋰電池正常使用電位時,含LiCF3SO3的電解液鋁腐蝕電位僅為3.1V,發現鋁電極表面鈍化很差,因此這類鹽不能用于以鋁作陰極集流體的鋰電池。
·另外,LiCH(CF3SO2)2用作鋰離子電池的導電鋰鹽時表現出較好的性能,對其衍生物進一步研究,有可能獲得性能較好的導電鋰鹽。
亞胺系列鋰鹽
·該類鋰鹽包括了含CF3SO2-的亞胺鋰鹽,以及含氟烷氧基的亞胺鋰鹽,對比研究了一系列的含有機氟亞胺鋰鹽的特性,指出它們具有較好的溶解性,電導率和氧化電位等,并指出高氧化電位是由于陰離子具有低的前線分子軌道能級,還原穩定性通過最低空軌道能級預測。亞胺鋰鹽亦可能夠用與電池中的循環壽命性能優于LiPF6,含有[(CF3)2CHOSO2]2NLi的電池具有最好的循環性能。XPS分析顯示亞胺鋰鹽電池的陽極表面為亞胺組分所覆蓋。
亞胺系列鋰鹽- LITFSI
·研究最多的是LiN(CF3SO2)2(即LITFSI),它具有和LiPF6相近的電導率,氧化穩定性和熱穩定性,而且不易水解,同LiCF3SO3相比,它具有很好的穩定性。其熔點為236-237℃,電導率為4.0x10-3S/cm.LITFSI被認為是高度石墨化電極MCMC中間相碳微球的最具吸引力的電解質鋰鹽,即使在反復循環時,它都能夠確保穩定的幾乎接近最大容量的放電能量,
但LITFSI基有機電解質應用于鋰電池時,存在對鋁或者銅電極集流體的腐蝕作用,在1mol/L LiTFSI/EC+DMC電解液中,Al在3.5V時發生大量缺陷而腐蝕,根據交流阻抗分析,LITFSI電解液體系在負極充電時,負
極與電解液之間保持穩定的阻抗,表明負極表面生成了均勻的鈍化膜。LITFSI對正極集流體有較好的穩定性,如它在EC+THF電解液體系中,對鋁集流體的腐蝕在4.4V以上。
·含多氟烷氧基亞胺鹽的結構同Li(CF3SO2)2N相似,只是取代基不是多氟烷基Rf,而是多氟烷氧基RfO,其化學穩定性和熱穩定性均很好,在PC/EC(1:2)混合溶劑中,甚至在濃度為0.01mol/L左右時,該電解液仍具有月1.7x10-3S/cm的電導率。
·Li(C2F5SO2)2N和Li(C4F9SO2) (CF3SO2) N等具有多氟烷基的亞胺鋰鹽,在鉛電極上電位分別到4.5V和I4.8V也不溶解,表明鉛電極在含Li(C2F5SO2)2N和Li(C4F9SO2) (CF3SO2) N的電解液中被很好的鈍化,使用Li(C2F5SO2)2N制 備的電解液具有較好的循環性能,含有Li(C4F9SO2) (CF3SO2) N的EC/DMC電解液與其它鋰鹽相比,具有阻止電解液被氧化的功能。
其它鋰鹽
·LiCIO4是研究歷史最長的鋰鹽,有適當的電導率,熱穩定性和耐氧化穩定性;因為它本身是一種強的氧化劑,可能會引發安全問題,而不能用于實用型的電池中。
·LiAsF6基電解質具有最好的循環效率,而且較易純化,有相對較好的熱穩定性和幾乎最高的電導率,與LiPF6相近。 然而其中的As有毒性,限制了它的應用。
·還有一些鋰鹽,本身電導率不高,如LiF,CF3CO2Li,C2F5COOLi等,但是加入一些能捕獲陰離子的添加劑,從某種程度上而言生產了另外一種鋰鹽,從而促進鋰鹽的離解。如在LiF電解液中加入三(五氟苯基)硼烷或三(五氟苯基)硼酯,在DME中的室溫電導率高達6.8x10-3S/cm,LiF的濃度可高達1mol/L,對于三(五氟苯基)硼烷和三(五氟苯基)硼酯而言,前者的熱穩定性,電化學穩定性均比后者好,同時容量保持率優于后者。
鋰鹽總結
·各個系列導電鋰鹽中的有機配合物鋰鹽,大多是引入強吸電子性的氟原子及磺酸基,或引入芳香基,增大陰離子體積,使整個陰離子電荷趨于更分散,降低了晶格能,使其溶解度增大,從而提高鋰鹽的熱穩定性,電化學穩定性和水解穩定性。如果陰離子體積過于龐大,鋰鹽的溶解性就會降低,相應的電導率也會降低,+6價的磷元素就受此影響。但磷系列鋰鹽的LiPF3(C2F5)3各項性能都較好,選擇與之相應的有機溶劑,以提高電池的性能,是導電鋰鹽研究的熱點之一。
·亞胺系列與甲基系列鋰鹽中的LiN(CF3SO2)2和LiCF3SO3很具吸引力,但都存在著對正極集流體鋁箔的腐蝕作用,同時氟烷基的存在,制備成本高,這就限制了其應用。
·從鋰鹽自身方面來說,重點是控制陰離子的結構,如發現新型的巨型有機陰離子鋰鹽和聚合物鋰鹽,并且對已有的導電鋰鹽的改進,或者利用其他方法來提高電導率;從鋰鹽的應用方面來說,兩種或多種鋰鹽的搭配使用,揚長避短,可以提高電解液的電導率,改善SEI膜的形成,這將成為導電鋰鹽的研究方向。
二、鋰離子電池電解液添加劑
·SEI成膜添加劑
·抗過充添加劑
·阻燃添加劑
·穩定添加劑
·除酸除水添加劑
·浸潤性添加劑
SEI成膜添加劑分類
·無機成膜添加劑
SO2、CO2;Li2CO3;KCIO4,NaCIO4;
·有機成膜添加劑
環狀不飽和碳酸酯;
含硫有機成膜添加劑;
鹵代有機添加劑;
其他有機成膜、飾膜添加劑:
SEI成膜添加劑
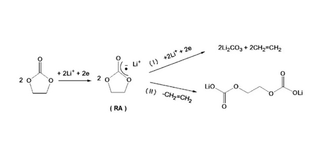
·鋰離子電池的極性非質子溶劑,在電池首次充放電過程中不可避免地要在碳負極與電解液的相界面上反應,形成覆蓋在碳負極表面的鈍化層,人們稱之為固體電解質相界面膜,簡稱SEI(solid electrolyte interphase)膜。

溶劑化鋰離子在石墨層間分解示意圖
K Xu. Chem. Rev, 2004, 104: 4303-4417.

EC的還原分解
·機理I:主要產物為Li2CO3及其他氣體
·機理II:主要產物為烷氧基鋰,形成的SEI膜較致密且產氣量少
·兩種反應機理在成膜過程中同時存在,并受石墨表面形態和化學性質影響
S. S. Zhang. Journal of Power Sources,162 (2006) 1379-1394

PC等碳酸酯在負極的還原分解
K Xu. Chem. Rev, 2004, 104: 4303-4417.

SEI膜結構示意圖
K Xu. Chem. Rev, 2004, 104: 4303-4417.
·優良的SEI膜不溶于有機溶劑,致密,熱穩定性和化學穩定性好;能夠在允許鋰離子自由進出電極的同時阻止溶劑分子穿越,從而抑制溶劑分子共插對電極的破壞,提高電池的循環效率和可逆容量等性能。
·SEI成膜添加劑多是選用還原分解電位較高的化合物,它們在首次充放電的過程中能夠先于電解液的其他溶劑成分分解,在負極表面形成穩定的SEI層,從而避免和減少電解液的還原分解。
·早期:試錯法
·近年來:半經驗法
最低未占據軌道能級(LUMO)-還原電位
特殊基團的影響: -C C-/苯基/鹵素/硫取代;

K Xu. Chem. Rev, 2004, 104: 4303-4417.
無機成膜添加劑
·早期的研究主要集中在小分子無機物如SO2、CO2 等;D.Aurbach[1]提出,加入少量CO2能夠在負極材料表面形成穩定
的Li2CO3鈍化層,該層被證實能有效改善鋰離子電池的循環性能。
·Y.EinEli[2]等發現,在LiAsF6/PC+DMC的電解液體系中加入約20%的SO2,電化學過程中能夠生成包含Li2S以及其他Li-S-O化合物(包括:Li2S2O4、Li2SO3,以及Li2S2O5,等)的鈍化層;但是SO2在高電位下與正極材料相容性差;而且SO2有毒,污染環境,難以在實際生產中使用。
[1] Aurbach D, Eineli Y, Chusid O, et al. J Electrochem Soc, 1994, 141(3): 603-611.
[2] EinEli Y, Thomas S R, Chadha R, et al. J Electrochem Soc, 1997, 144(3): 823-829.
無機成膜添加劑
·碳酸鋰是SEI膜的重要化學成分,也可以作為有機液體電解質的成膜添加劑使用。Shin[1]等在1 M LiPF6/PC + DMC體系中添加飽和碳酸鋰,發現首次充電過程中不可逆容量降低,并且氣體總量明顯減少。然而碳酸鋰在有機溶劑中的溶解度低,對電解液性能的改善作用有限。
·高氯酸鉀和高氯酸鈉作為電解液添加劑,可改善了石墨負極材料在1MLiCIO4/EC+DEC電解液中的電化學性能[2,3];在電極充電過程中,鉀離子和鈉離子先到達石墨負極表面,并在電極雙電層附近聚集,形成一層固體高氯酸鉀和高氯酸鈉的保護膜,阻止了電極表面溶劑化鋰離子的嵌層反應。
[1] ShinJ S, Han C H, Jung U H, et al. Journal of Power Sources, 2002, 109(1): 47-52.
[2] Zheng H H,Fu Y B, Zhang H C, et al. Electrochem Solid State Lett, 2006, 9(3): A115 -A119.
[3] Komaba S, Iltabashi T, Kaplan B, et al. Electrochemistry Communications, 2003, 5(11): 962-96
有機成膜添加劑
·環狀不飽和碳酸酯:碳酸亞乙烯酯(VC)和碳酸乙烯亞乙烯酯(VEC)
·VC是在商品化鋰離子電池中使用做多的成膜添加劑1.2),具有同PC、EC相似的分子結構,但是由于含有不飽和雙鍵,化學性質要比PC和EC活潑,放電過程中能夠在高于PC和EC分解電位下斷開雙鍵,生成大分子的網絡狀聚合物參與SEI層的形成,加之對正極材料(LiNiO2和LiMn2O,)不存在負面效應,得到了實用化的推廣。它在工業中的使用量一般不超過2%,能夠有效降低鋰離子電池首次容量損失,改善高溫下SEI層的穩定性,提高循環壽命。

[1]兵本俊一,安部浩司等,PCT/JP01/03270 (2001).
[2] Hitoshi Ota,a,* ,Z Yuuichi Sakata, Journal of The Electrochemical Society,151 (10) A1659-A1669 (2004).
VC在石墨負極表面的還原反應

D. Aurbach , K. Gamolsky, Electrochimica Acta., 47 (2002) 1423- -1439.
VC含有C=C,其還原產物會發生聚合生成聚烷氧基碳酸鋰化合物,這種高分子網狀物有韌性,在電極表面穩定性好,對電池性能的改善效果更加明顯。

D. Aurbach , K. Gamolsky, Electrochimica Acta., 47 (2002) 1423- -1439.

由圖a, b可以知:25°C EC的還原峰在0.8V左右;VC的還原峰在1.0V左右。
石墨電極在1 M LiAsF6 EC-DMC 1:1/溶液中的前三次循環曲線25°C, 1 mV s-1.
a:不加VC
b:加5% VC
D. Aurbach , K. Gamolsky, Electrochimica Acta, 47 (2002) 1423- -1439.
·以LD-124型電解液為例,配置含有0%,0.5%, 1%,2%VC的四款電解液,組裝成軟包電池,經預充,老化,化成,分容后經行常溫性能測試。
·測試結果:添加劑的加入有利于提高鋰離子電池的放電平臺,當VC的含量為1%時,提高最為明顯,而此時電池容量的保持率最優。此外,VC的加入對鋰離子電池高溫循環壽命有顯著提高,低溫放電性能和低溫容量保持率也達到最佳水平。
·1 mol/ L LiPF6/ EC + DEC + DMC(體積比1: 1: 1) +1%VC
·鋰離子電池在低溫條件下的電化學行為,發現隨著溫度的降低,電池的放電性能變差,放電平臺降低,放電容量較室溫時有所降低;隨著循環的進行,容量持續衰減。將電池在低溫下循環若干次后,重新在室溫下進行測試,容量也不能恢復到初始值;向電解液中加入一定量的VC,可提高負極界面的導電性與穩定性,提高電池的低溫放電性能。在-20°C下放電,電解液中加VC的電池的放電電壓平臺比不加VC的電池提高約25%。
·三電極實驗結果表明:在低溫下由于電池阻抗增大,極化增強,充電過程在負極出現金屬鋰沉積;金屬鋰與電解液發生還原反應形成SEI膜,SEI膜的狀態與充電電流有關。
·VEC具有較高的介電常數,較高的沸點和閃點,有利于提高鋰離子電池的安全性能。VEC在1.35V開始分解,能在片狀石墨上形成穩定和致密的SEI膜,有效地阻止PC和溶劑化鋰離子共同嵌入石墨層間,將電解液的分解抑制到最小程度,進而提高鋰離子電池的充放電效率和循環特性,化學性質穩定。在鋰二次電池中作為高反應活性的成膜添加劑。
·VC用作成膜添加劑具有許多優異的性能,幾乎是目前已報道的最佳成膜添加劑。但是,VC不穩定,比較容易聚合,而VEC比VC穩定。這是因為VEC與VC相比,其分子結構,多一個富電子的碳碳雙鍵,因此不易與雙鍵發生化學反應。然而,酯基團與乙烯基的直接結合使VC處于失電子態,所以非常容易與雙鍵發生化學反應。
·一般認為:VEC在不同的電流密度下將采用不同的還原路線,即:電流密度小時的單電子路線以及電流密度較大時的雙電子路線,這是因為當電流較低時,為平衡鋰離子的正電荷而出現的那些活性負電荷,它們的存在時間難以支撐兩個電子遷移所需要的時間,所以VEC此時只能采用單電子的還原模式;同理,如果電流大到能夠為反應提供充分的負電荷時,VEC則更傾向于采用雙電子的還原模式,兩種路線將形成不同的終產物,其中單電子還原多形成ROCO2Li大分子等,而雙電子還原則多形成L2CO3。
·根據熱力學計算得到的反應勢壘,也證明了VEC較EC,PC等電解液成分更容易還原形成穩定的Li2CO3層,盡管現在人們對VEC機理的理解沒有統一的說法,但是VEC作為Li+電池添加劑的正面意義都給予了肯定:即幫助形成了穩定的SEI層,有效阻止了C從電極表面脫落的現象。
·以1M LiBETI (雙三氟甲烷黃酰亞胺鋰) /PCIVEC (95:5 v/v)為基礎電解液配方,主要對VEC的成膜作用、機理及膜組分進行了研究。
·實驗表明:VEC可以很好的抑制PC的共嵌以及石墨的脫落。在CV圖中可以明顯的看到開始于1.35V、中心位于1.06V的還原電流峰,該電流峰即為VEC還原分解所生成。
此外,電解液中加入VEC,可使電池具有很好的循環性能:第1、2、30周循環的庫侖效率分別為85%、98%、97.8%,表明在碳負極表面生成的保護膜致密穩定。FTIR、 XPS結果表明,VEC還原分解生成的鈍化膜的主要成分為LiORCO2ROCO2Li, Li2CO3, LiROCO2Li,(ROCO2Li)2等(R代表烷基)

以MCMB為負極、Li1.1[Ni1/3Co1/3Mn1/3]0.9O2為正極、1.2M LiPF6,EC:PC:DMC(1:1:3,質量比)為電解液基礎配方,添加0.5wt% 的VEC后,可以改善SEI膜的性能,從而抑制石墨負極的分解,并提高電池循環及高溫保存時的容量保持率。例如55°C下,電池以C/2恒流充放電循環測試的結果表明: 100周 循環后,未加添加劑的電池容量損失了23%,添加0.5wt%VEC的容量保持率分別為85%。同比實驗表明,如果增加VEC的加入量,應該可以得到更好的容量保持率。但是,如果VEC加入量太大,電池內阻會顯著增加,比未加添加劑時高許多倍。
·在基礎電解液中同時加入VC、VEC, 總量在0.05~ 5wt%比較合適。
·實驗表明:常溫500周循環容量保持率達80%,80°C 200h儲存后厚度僅增加2mm,還可以有效的抑制循環過程中氣體的產生。
·機理分析:VEC的加入之所以能夠提高充放電特性,是因為VEC能夠在負極活性物質的表面生成一層對鋰離子的傳導性高的負極覆膜;之所以能夠提高充放電循環壽命特性,可以認為是由于所生成的覆膜的穩定性高,能抑制非水溶劑的還原分解反應。進而,由于該覆膜即使在高溫下也能保持高的穩定性,因此可以認為,它能抑制由于非水溶劑的還原分解反應而導致的氣體的產生,并且即使在高溫放置時也能抑制由于內壓上升所導致的電池膨脹。
VEC改善高溫循環性能
·VEC不僅能改善石墨材料在PC基電解液中的電化學性能,而且對正極材料在高溫下的循環性能也有一定的提高。
·Yang等[1]發現將2%的VEC加入LiPF/EC+DMC電解質中在50°C高溫下將顯著改善LiNi0.8Co0.2O2正極材料的循環性能。在100次充放電循環后,所保留的放電能力可以從68.8%提高到84.8%。
·差分電化學質譜的測試結果表明:在50°C下加入VEC可使得首次放電過程電池中CO2的釋放量顯著減少,并在第二次充放電循環時消失,這說明了陰陽兩極在VEC的參與下都形成了穩定的SEI層。
[1]Jie Li,Wanhao Yao, Ying S. Meng, and Yong Yang. J. Phys. Chem. C 2008, 112, 12550-12556
·美國專利報道在電解液體系中加入VEC,可以改善高溫充放電循環性能,抑制高溫條件下的自放電。其中,VEC的最佳加入量為0.05~2%(v:v)。上述電解液體系中,除了VEC,如果同時加入VC,則其低溫放電性能、常溫循環性能也將得到改善。
·對于31%EC+5%GBL+62%PC+1%VEC+1%VC+1.0mol/L LiPF6(或1.5mol/LLiBF4)的電解液,電池在45°C下循環200周后、-10°C下放電的容量保持率分別為81%(或82%)、64%。專利指出,各添加劑的加入量需滿足: 0.1SVECNC≤2% (v:v) ,如果VEC+VC>6%,則高溫儲存及首次充放電過程中產生的氣體將增加、或負極界面處電阻增大,從而降低電池的低溫放電性能;同樣,VEC>2%將引起負極界面處電阻增大,進而影響低溫性能。
·VEC具有較高的介電常數,較高的沸點和閃點,有利于提高鋰離子電池的安全性能。
·中國某專利報道,以EC/DMC/PCNC基準電解液中另加入0~5%的VEC和0~5%的BP。經檢測,該電解液的特點:
①適用性能強,可以適用于變化的體系,如042025軟包裝、053048方型以及043048方型的電化學體系;
②一充一放效率不低于現有電解液;
③循環性能良好,能夠滿足400次大于80%的要求;
④不改變電池的其它安全性能。分別通過了過了2C 5V的過充實驗和1C 12V的過充實驗。
·但是,要安全的通過這些過充實驗,VEC和BP必須配合使用,否則僅依靠BP是無法通過的。
鹵代有機添加劑
·鹵代有機成膜添加劑主要包括氟代、氯代和溴代有機碳酸酯、鹵帶代EC,三氟甲基亞磷酸(TTFP),氯甲酸甲酯,溴代丁內酯(Br-BL)及氟代乙酸基乙烷都屬于這類添加劑。
·上述添加劑借助鹵素原子的吸電子效應提高中心原子的得電子能力,使添加劑在較高電位下在負極表面還原并生成有效的SEI膜。
FEC氟代碳酸乙烯酯

從結構上來看,FEC比EC多了一一個-F取代基團,此基團有很強的吸電子能力,因此可以解釋在較高的電位下,FEC即可發生還原分解反應。由EDS(能量散射光譜)分析知,添加FEC后,MCMB電極表面面的SEI膜的主要成分元素有C、O、F,其中的F應是來白FEC的分解。
·徐康文獻指出,在PC、EC的甲基或亞甲基的位置處引入-CI、-F等官能團可以得到一系列新型的碳酸酯溶劑。鹵素原子的引入使得該類溶劑的熔點降低,閃點提高,有利于改善電解液的低溫和安全性能。電解液在氟代碳酸酯形成的電解液中的循環效率和安全性能同樣有所提高。這類添加劑借助鹵素原子的吸電子效應提高中心原子的的電子能力,使添加劑在較高的電位條件下在負極界面還原并有效鈍化電極表面。
·FEC用途:
①鋰離子二次電池電解液的成膜添加劑;
②改善低溫性能。

·如圖所示,FEC中C=O上的O與Li+有強配位作用,得到外界一個電子后還原生成一自由基負離子中間體M,M有很高的反應活性,比如可以發生二聚反應或與其它反應中間體發生反應生成其它產物等。在較高還原電位下,生成的含氟產物旨先占據MCMB電極表面的活性位點,能有效抑制較低電位下電解液溶劑的分解。
·美國專利報道,電解液中添加FEC,可以抑制負極的損壞,提高電池的循環性能。
·從結構上看,FEC在Si負極處失去F,分解成與VC具有類似結構的物質,該物質會于4.3V (Vs.Li/Li+)電壓或更高時在正極處發生分解(類似VC),產生氣體。如果在電解液中加入LiBF4,則LiBF4首先與Si負極表面反應,生成含F的表面膜,從而抑制FEC與Si負極的反應,減小FEC的分解,進而抑制氣體的產生。專利還指出,LiBF4的最佳加入量為0.5~ 1.0mol/L,其它鋰鹽如LiPF6等加入量為0.1~1mol/L,FEC的加入量為2~ 10wt%。
·美國專利報道,電池在首次充電過程中,相對于普通的溶劑體系,FEC在較高的電位發生還原分解反應,從而在碳負極表面形成穩定的鈍化膜而抑制電解液的分解,減少容量損失,充分提高電池的容量效率及壽命。
·同時,該專利指出,FEC比CI-EC形成的SEI膜更穩定。這是因為,FEC在反應形成SEI時,不會生成電解液可溶的鹵代物,而CI-EC電解液體系中,在形成穩定性稍差的SEI膜的同時,還生成可溶的LiCI。該氯化物能類似于氧化還原飛梭電對,從負極遷移到正極被氧化生成Cl2,而Cl|2又能從正極遷移到負極被還原成C上,從而造成低的容量效率。
·在低溫充電時,負極表面容易發生Li沉積,生成鋰枝品,從而影響電池的各項性能。鋰枝晶的形成與SEI膜的表面形貌相關,不均勻的SEI膜導致不均勻的電流分布,是生成鋰枝品的主要原因。
·該文獻還指出,FEC可以失去一個HF分子而生成VC,而HF可以與SEI膜的堿性組分反應生成均勻的、富含LiF的SEI膜,從而有效的抑制鋰枝晶的生成,改善循環性能。

分子結構

物理性質
閃點: -15°C
熔點: -41.9°C
沸點: 82.8°C
·目前國內尚未有文獻報道關于FB用于鋰離子電池電解液,通過文獻搜索,在三星專利中有針對FB使用的專利,詳細信息概括如下:
·相對于通常的含碳酸酯電解液相比,加入較大含量的FB可以改善電池的性能,從電池的低溫性能、電池壽命和高溫放電能力來看,均有明顯的優點。
·三星SDI專利中1對使用FB,做了如下介紹:改善電池的充放電循環效率,以及電池在高溫儲存條件下的性能,對低溫放電性能也有所改善。加入較大含量的FB可以改善電池的性能,可減少電池高溫儲存(60°C,30天)后的放電容量損失(原文中表2):
[1] Jong Seob Kim. US 6855458 B1,2005.
·專利1中具體的實施案例為:
1.EC/DMC/FB=1:1:1,將此配方使用在18650電池中,初始效率比不含FB的配方高出1%,-20度的額定放電容量高出60%以上;
2. EC/DMC/DEC/FB=3:3:1:1,高溫放電能力比不含FB的配方高出4%, 初始效率和低溫放電能力也有所改善;
·三星SDI專利[2]提到,若FB的含量小于8%(V:V),改進低溫特性的效果將可忽略不計,但是若FB含量高于15(V:V),則當電池在高溫條件下儲存時會引起電池厚度的增加,從而使電池的安全性受到損害。
[1] Jong Seob Kim. US 6855458 B1,2005.
[2] Kwang-chun Kim. us 0095507 A1 ,2005.
含硫有機成膜添加劑
·含硫有 機成膜添加劑包括亞硫酸酯、亞砜類和磺酸酯添加劑。

碳酸酯、亞硫酸酯、磺酸酯的結構式
·亞硫酸酯添加劑的結構與EC、PC、DMC和DEC相似,但由于中心硫原子的電負性更強,它們在石墨表面的還原性比相應的碳酸酯強,還原電位在1.7~2.1V之間;因此,亞硫酸酯添加劑能先于溶劑在石墨表面還原形成穩定的SEI膜,而且對正極材料的電化學性能影響不大。
·Ota研究表明,亞硫酸酯添加劑在石墨表面還原分解形成SEI膜的主要成分是無機鹽Li2S、Li2SO3、Li2SO4和有機鹽ROSO2Li,具體成分與電流密度有關,在高電流密度下,首先生成無機鋰鹽,0.5V以下才出現有機鋰鹽成分;在低電流密度下,1.5V 就出現有機鋰鹽,之后不再有無機鹽的生成。
-PS
·PS是含硫的有機溶劑,是重要的有機成膜添加劑之一,結構與PC結構相似。
·但是由于中心S原子的電負性更強,在石墨負極界面的還原性比相應的碳酸酯強,亞硫酸酯的還原電位在1.7一2.1V左右,明顯高于溶劑化鋰離子的嵌層電位,加入PC基電解液中可先于溶劑化鋰離子嵌層在電極界面形成穩定的SEI膜,避免PC分子嵌層對電極的破壞,使石墨電極在其中可以進行有效的嵌、脫鋰循環。
·PS分子中的-SO3-基團的O原子與Li+間強烈的配位作用導致PS分子五元環斷開,Li+得到一-個電子后形成陰離子自由基。由于陰離子自由基非常活潑,反應活性特別高。在進一步生成LiSO3,從而在石墨電極表面包覆一層致密、穩定的SEI膜,有效的提高了電極電化學性能和電池的儲存性能及自放電性能。
使用含和不含Ps的兩種電解液的電池在70°C和180°C下擱置24小時后在室溫下的做放電實驗:

說明添加劑PS的加入提高了電池高溫下放電的容量和安全性能。
·以PS為代表的亞硫酸酯類作為鋰離子電池電極也也存在明顯不足:
1.這類化合物與低黏度的醚類(如DME)共存時穩定性差,難以與醚類化合物配合使用;
2.這類化 合物在EC基電解液中對石墨負極的電化學性能的改善不利;
3.這類化合物在石墨負極界面形成的SEI膜穩定性差,隨著循環次數的增加,電極界面電阻逐漸升高,電池的電子極化現象愈來愈嚴重, 從而導致電極的可逆容量迅速降低。
基于以上不足,亞硫酸酯類添加劑在鋰離子電池有機電解液中的應用受到限制。
·通過PS和VC在天然石墨電極表面的交流阻抗行為發現:在初次循環過程中,VC的成膜反應電阻和鋰離子發生電子交換反應的電荷傳遞電阻都明顯小于含有PS的體系,這樣當電流經過時候,鋰離子在電解液和界面膜的遷移更加容易,由電極極化和歐姆內阻所造成的阻力就會減小,從而提高了電池的容量和平臺;
·另一方面,也說明在還原反應過程中,VC的反應更加容易得到電子,形成SEI膜的效率高,因此能有效抑制溶劑的還原反應;而在含PS的體系中,由于電子轉移電阻相對較大,PS的反應速率低,不能在第一時間形成完整的SEI膜,因此不能阻止隨后的溶劑參與成膜反應,如用在含PC的溶劑體系中會導致PC的還原,進而影響電池的容量。
磺酸酯類添加劑- 1,3-PS
·磺酸酯是一種重要的有機成膜添加劑,烷基磺酸酯如1,3-丙烷磺酸內酯(1,3-PS)、1,4-丁烷磺酸內酯(1,3-BS)及1,3-丙烯磺酸內酯(PTS)具有良好的成膜性能和高低溫導電性能,是近年來人們看好的鋰離子電池有機電解液添加劑,尤其是用在負極為石墨、正極為尖晶石LiMn2O4的鋰離子電池電解液中,電池的高溫性能明顯改善。
·劉建生等1在1 mol/L的LiPF/EC+EMC+PC (體積比3:6:1)電解液中加入3%wt的1,3-丙烷磺酸內酯(1,3-PS),發現在60 °C下滿充電放置7天,電池的容量保持率和容量恢復率均比電解液中未加入1,3-PS電池的容量保持率和容量恢復率提高15%左右。
[1]李永坤,張若昕,劉建生.電池工業,第13卷.第5期,2008.
磺酸酯類添加劑-1,3-PS
·Zuo等[21研究發現,在1M LiPF;PC/EC/EMC為1:1:3的電解液中,加入1%w.t.1,3-PS,能將電池的首次放電容量提高8%;放電電壓也有所提高,放電到200mAh的電壓由3.7V提高到3.8V;加入1,3-PS后,電池循環100周容量保持率由95 2%提高到97.1%。
·CV測試表明,1,3-PS在0.7V電位下在石墨負極表面還原生成致密的SEI膜,抑制溶劑的還原分解(EC在石墨電極的還原電位為0.5V左右);這種優質膜的形成,能大大提高石墨/鈷酸鋰電池在高溫80°C儲存后和低溫-20°C的放電容量。-20°C下的放電容量提高了23.5%;放電到300mAh的電壓由3.25V提高到3.45V;1,3-PS的加入可使80°C儲存4h后的放電容量提高8.9%。
[2] Xiaoxi Zuo, Mengqing Xu, Electrochemical and Solid-State Letters, 9 (4) A196-A199 ,2006.
磺酸酯類添加劑-1,4-BS
·Xu 等3I在1 mol/L的LiPF6/EC+ PC+ EMC (體積比1:1:3)電解液中加入1%wt的1,4-丁烷磺酸內酯(1,4-BS),電池的首次不可逆容量大大降低,循環性能有很大改善。研究發現,1,4-BS 在負極石墨表面還原形,成優質的SEI膜,抑制溶劑的進一步還原和PC嵌入石墨層間。
[3] XuM Q, LiW s, Zuo X X, et al. Journal of Power Sources,2007, 174: 705-710.
磺酸酯類添加劑-PTS
·檜原昭男等[4]在專利中介紹了在1M LiPF6,EC/EMC為4:5的電解液中加入1.5%wt的1,3-丙烯磺酸內酯(PTS),與LiCoO2和天然石墨材料組裝成電池。
·PTS的氧化電位為4.4V (v.s.Li/Li+),還原電位為1.64V;
·測試電池在高溫保存中的氣體發生量(0.21m)遠小于電解液中加入1,3-丙烷磺酸內酯的電池的產氣量(0.34ml);而1,3-丙烯磺酸內酯與碳酸亞乙烯酯混合使用,可以降低電池的自放電率,并可抑制負荷特性和阻抗變化的劣化。
[4]檜原昭男,石田達麗,平野千穗電解液用添加劑,使用該添加劑的非水電解液及二次電池:中國,02127603.X[P].2006-04-5.
硼酸酯類添加劑
·硼酸酯溶劑沸點高(>300°C) ,熔點低(<100°C) ,抗氧化性強;如硼酸二己醇酯(BEG)與PC或EC混合的硼溶解lmol/L LiCIO4,制的的電解液的氧化電位大于5.8V(vs.Li/Li+),與碳負極相容性好,電極材料在其中具有優良的循環性能。
·三甲氧基硼烷或三甲基硼烷加入電解液中也可改善電池的循環性能。在ImolL LiPF6/EC+EMC電解液中溶入1%的三甲氧基硼烷,可以使C/LiCoO2電池的壽命延長50%。
·含硼化合物的加入有負面作用,會增加了電池的首次不可逆容量損失,添加量較大時會導致體系的熱穩定性下降,也影響了電解液的離子導電性:其添加量一般不超過2%。
有機飾膜添加劑
·溶劑中加入冠醚(如12-冠-4-醚) 不僅能增大電導率,還能減小電極首次充放電容量損失。
·冠醚對碳負極界面SEI膜的優化不是通過添加劑自身的還原分解在電極表面優先成膜,而是12-冠-4-醚分子能與鋰離子發生配位作用,優先與鋰離子溶劑化,削弱鋰離子與溶劑分子間的相互作用;形成的鋰離子溶劑化半徑小,遷移速度快,在充電過程中優先到達負極表面。從而抑制溶劑在負極界面發生還原反應的強度,保護了碳負極的結構,降低首次充放電的不可逆容量。
·紅外光譜分析表明,SEI膜的主要成分是EC分子的還原產物,沒有12-冠-4-醚的還原產物;12-冠-4-醚并不直接參與SEI膜的形成。
有機飾膜添加劑
·12-冠-4-醚改善電解液性能的原因是它與鋰離子配位的體積大小合適,也滿足鋰離子的配位數為4的要求,可優先與鋰離子發生溶劑化作用,消弱PC分子與鋰離子的相互作用: 18-冠-6-醚分 子優化SEI膜的作用不明顯。
·研究發現PC基電解液中添加適量四乙醇二甲醚(tetraglyme) 有助于形成穩定的鈍化膜;
·醚類毒性很強,這限制了它在工業中的應用。

鋰離子電池過充保護添加劑
結構式:

·在鋰離子電池電解液中添加防過充類添加劑可以提高鋰離子電池的安全性能,且含苯環類添加劑具有較好的過充性能。
·少量的環已基苯添加劑能夠對電池起到保護作用的原因,是因為環已基苯在較低電位下聚合放出的熱量使電池隔膜閉合增大了電池內阻,導致電池電壓迅速上升,避開了電解液氧化;
·目前對苯環化合物作為防過充機理存在兩種解釋:
1.自放電機理
當電池充電到一-定 電壓時,添加劑單體發生聚合,在正極表面生成導電聚合物膜使電池自放電至安全狀態;
2.阻斷機理
電池電壓超過添加劑的電聚合電壓時,添加劑單體發生聚合反應,生成聚環己苯,在電極表面形成阻斷層,使電池內阻迅速增大,從而減緩或阻止電解液的進一步 分解,防止熱失控,保持電池處于安全狀態;
·鋰離子電池電解液的過充保護添加劑一 般需滿足以下條件:
(1)過充添加劑的氧化電勢應高于滿充電鋰離子電池電壓(4.2V(Vs.CgLi),4.3V Vs(Li/Li+)),小于完全脫嵌的鉆酸鋰電極的電壓(4.3~4.7V (Vs.CgLi) ,4.4~4.8V Vs (Li/Li+) ),即氧化電位應該在陰極充電截止電勢和電解液氧化分解電勢之間;
(2)過充添加劑的氧化反應速度越快,則對電解液的過充保護效果越好;同時,過充添加劑不能嚴重影響鋰離子電池的充放電循環性能。
·環己基苯的氧化電壓約為4.6-4.7V,因此與不含環已基苯添加劑的電池相比,環已基苯聚合反應先于電解液氧化反應發生并放出熱量,同時生成氫氣,造成電池表面電壓升高或體積膨脹。
·通過實驗,環己基苯(CHB)的放過充機理為:去氫電聚合阻斷機理,即發生過充時,CHB單體發生去氫電聚合形成聚環已苯,并產生氫氣,是電池內阻增大而阻止電池的熱失控發生,提高電池的過充安全性能,因此CHB也稱為電聚合保護添加劑。
1.CHB添加劑對電池電導率的影響
電導率是影響鋰離子電池性能的一個重要參數,如果鋰離子電池電解液的電導率不夠,降低導電鋰鹽的解離,進而影響鋰鹽對碳負極共插而引起對負極的破壞。
實驗實例:隨著CHB濃度增加電解液電導率幾乎呈線性下降,表明添加環已基苯對電解液的電導率負面影響,同時每增加1%,電解液的電導率下降大約2.5%;當電解液中CHB的含量比例達到9%(質量比)電解液的電導率與純電解液相比下降了25%,這也可能是高比例CHB電解液導致電池循環下降的原因之一。
2.CHB對電池循環性能的影響
(1) CHB對正極(LiCoO2) 的影響
電解液中添加ICHB后使LiCoO2的容量有一定程度的增大,但循環穩定性變差了,容量的衰減變得更快一些,而且在隨著添加含量的增大(<2%)時,容量是變大的,添加2%CHB的容量最大,但CHB含量繼續增大后(>2%)時,反而使容量下降,而且容量衰減越來越快。
總體來說,添加CHB使正極材料容量增大,穩定性稍有衰減。
(2)CHB對石墨負極的影響
添加少量的CHB(<3%)使負極石墨的容量有些許提高,循環穩定性和空白試驗的基本一致,首次充放電效率都能達到82%左右,循環50次后容量仍能保持在320mAh/g左右。但添加CHB量變多(>3%)之后,負極循環性能變差,首次充放電效率只有70%左右,不可逆容量增大,放電容量也下降,循環穩定性也變差,容量下降的很快。
說明添加CHB量的多少對石墨負極的影響較大。
·由此說明較高比例的CHB對電池的循環性能有負面的影響;此外,CHB的加入使電池的阻抗略有浮動,但影響不大。
3. CHB添加劑對電池自放電的影響
添加不同比例的CHB的電池,自放電都有一定程度的增加。同空白電池相比,電池的自放電程度隨著CHB的增加而逐漸增加,含9%CHB的電池的自放電最為嚴重,但儲存15d后容量保持率依然高達98.7%;
說明盡管CHB添加劑對電池自放電有負面影響,但是這個影響是非常小的。
結構式:

·聯苯的聚合電勢為4.7v(W.Li/Li"),可在過充時發生電聚合反應,在電池正極表面形成一層導電聚合物膜,增加電池的內阻,阻斷充電,提供過充保護,有利于減低降低充電電流。
·過充機理: BP跟CHB-樣, 都是電聚合類添加劑
在過充狀態下,由于BP的電聚合反應,使電池內壓和溫度提前增大,提高了與其聯用的保護裝置的靈敏度,使電池處于非危狀態,有效地改善了電池的過充安全性,在深度過充狀態下,空白電池極易發生爆炸燃燒;而加了BP的電池因壓力閥提前開啟,使電池始終處于安全狀態,從而提高電池的安全系數。
BP + (BP)n→(BP)n+1+2H++2e-
2H+ + 2e--→H2
·在電解液中加入10%的BP后,電池的放電容量僅降低了2.2%,電池在充放電100周循環之后,電量損失約10%,提高BP的濃度,發現電解液聚合反應速度加快,電池的最高溫度降低,但電池的循環性能降低、脹氣程度增大。
·為了改善電池的循環性能,加入BP的同時,又加入叔戊基苯,電池循環性能略有提高,300周次循環后電池容量熱能保持在82%以上,BP與叔戊基苯共同使用對錳酸鋰、鎳酸鋰、鈷酸鋰為正極的18650電池都有明顯的過充保護作用;
·為了抑制電池脹氣,Roh等人在電解液中加入6%BP的同時,添加2%的含氮化合物和少量的蔡-1,8-磺酸內酯,控制電池的體積膨脹。
·含CHB電解液的Li循環效率比含BP電解液的循環效率高很多,與標準電解液的Li循環效率接近,說明在改善循環效率方面,CHB過充添加劑比BP過充添加劑好。由于BP的一個芳香環被氫化后,其還原性降低增強了CHB在鋰電極的電化學穩定性,這種芳香環的氫化減少了化合物電子數。導致氧化性降低,化合物的電化學聚合反應速率降低,因此單純就
氧化反應速率而言,BP比CHB對電解液的過充保護效果更好。
·eg: CHB的氧化電勢為4.72V,BP的氧化電勢為4.54V;CHB的最大氧化電流為-6.23×10-4A,BP的最大氧化電流為-1.02 x10-3A;
氧化還原飛梭型抗過充添加劑
·具有橄欖石結構的磷酸鐵鋰是-種應用前景十分廣闊的鋰離子二次電池正極材料。LiFePO,的理論比容量為170mAh/g,相對于鋰金屬,負極的穩定放電平臺為3.4~3.5 V。
·日前應用中多采用電聚合類添加劑(CHB/BP等),來提高電池的安全性:然而當聚合反應發生時,電池的壽命即終止:動力電池成本較高,采用此方法代價過大,不符合降低成本的要求。
氧化還原飛梭
·增強電池抗過充性能的另一種方法是,加入氧化還原對添加劑:當電池正常充電時,該氧化還原對不參加任何化學或電化學反應:當充電電壓超達到添加劑的氧化電位,添加劑開始在正極發生氧化反應,氧化產物擴散到負極,發生還原反應:吸收多余的電荷,形成內部防過充電機制,顯著改善電池的安全性能。
對此類添加劑的要求:
(1)其氧化電位應稍高于電池充電截止電壓(3.6V),低于溶劑氧化電壓; (2)氧化還原過程中副反應要少,可逆性好,避免添加劑的消耗;
(3) 溶解度大,擴算速度快;
(4)與正負極相容性好,對電池性能無負面影響。
氧化還原飛梭
·Claudia等 [1]研究了多種烷基、甲氧基芳香族化合物的氧化電位和抗過充性能。
·氧化電位采用CV描測試,過充測試在4.9V、0.1C、10h過充100%條件下進行:電池為LiFePO4-MCMB體系,電解液為0.7 M LiBOB,EC/PC/ DMC/DEC(體積比1:1:2:2)。
·苯甲醚氧化電位為4.2V,電解液中加入0.1M苯甲醚,可承受上述過充測試33次;2-溴苯甲醚的氧化電位為4.35V,其濃度為0.1M時可抵抗12次過充。
結構式如下:

[1] Claudia Buhrmester, Jourmnal of The Electrochermical Society, 152 12 A2390-A2399 2005.
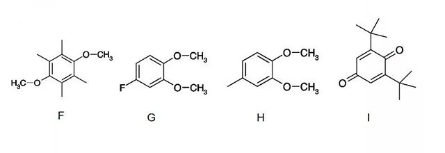
氧化還原飛梭
·4-甲基-鄰二甲氧基苯(F)、4-氟取代鄰二甲氧基苯(G)和2,3,5,6-四甲基-對二甲氧基苯(H)的氧化電位都為4.1V,濃度為0.1M時分別可承受15次、18次、 16次過充測試;
·2,6-二叔丁基-1,4-苯醌(I) 在4.1V發生氧化反應,濃度為0.1M時可承受9次過充;
結構式如下:

DDB
·2,5-二-叔丁基-對二甲氧基苯(DDB) (J)氧化電位為3.92V,CV測試顯示其氧化還原反應可逆性好,副反應少;濃度為0.08M時,電池可承受300次過充測試。

DDB

2,5-二-叔丁基-對二甲氧基苯
·苯環上含有aH,鹵素原子的化合物,其氧化還原可逆性較差;
·苯環上有叔丁基之類的較大基團,可以保護S+穩定存在,減少副反應,提高氧化還原的可逆性。
TDB
·H.X. Yang[2]報道了另一種芳香族物質- 4-叔丁基-鄰二甲氧基苯(TDB) ;
·以Pt盤電極為工作電極,Li片為參比電極,對濃度0.1 M TDB的1M LiPF6/ EC + DMC (1:1 v/v)的電解液進行CV測試,結果顯示,TDB在4.1V發生氧化,其氧化峰在4.25V,與LiFePO,電池的充電截止電壓(3.6V) 間距0.5V;隨后進行1000周CV掃描,所得曲線重復性好,說明TDB的氧化還原反應可逆性好,副反應少。

[2] J.K. Feng, X.P. Ai, YL. Cao, H.X. Yang, Electrochemistry Communications 2007 ,9.25-30.
TDB

TDB
·對0.1 M TDB 1 M LiPF6/ EC + DMC (1:1 v/v)的電解液組裝成的LiFePO,-Li半電池,可承受5V、 0.5C過充測試。
·實驗結果顯示,當TDB濃度小于0.2M時,對溶液電導率的影響極小,超過0.2M時,電導率會逐漸降低。
阻燃添加劑
·P/F/CI/Br都是優良的阻燃元素,但是由于含鹵阻燃劑存在的環保問題,一直被國內外相關行業限用,所以阻燃添加劑大多為含磷有機物,含氟有機物和含磷氟的復合有機物。
·電解液之所以會發生燃燒,是因為其本身發生了鏈式反應,如果能找到抑制這些鏈式反應的添加劑,將能有效提高鋰電池的安全性。
·大部分所認可的阻燃添加劑作用機制是自由基捕獲機制,基本原理是,阻燃添加劑受熱時,釋放出具有阻燃性能的自由基,該自由基可以捕獲氣相中的氫自由基或氫氧自由基,從而阻止了這些自由基的鏈式反應,使得有機電解液的燃燒無法進行或難以進行,提高鋰電池的安全性能。
有機磷系阻燃劑
·近年研究最多的一類阻燃劑,如烷基磷酸酯類,苯基磷酸酯類和環狀磷睛類等,這些化合物常溫下大部分呈液態,與非水介質有一-定的互溶性,是鋰電池電解液重要的阻燃添加劑。
·報道的有磷酸三甲酯(TMP),磷酸三乙酯(TEP),磷酸三苯酯(TPP)和磷酸三丁酯(TBP),磷腈類有六甲基磷腈(HMPN);將上述磷系阻燃添加劑進行系統的對比研究,結果表明,許多有機磷系阻燃添加劑粘度較大,加入后會降低電解液的電導率,而且電化學穩定性差,其中HMPN有較好的穩定性,對電解液性能影響不大,是比較理想的阻燃添加劑。
·TMP作用機制是自由基捕獲機制,在受熱的條件下首先氣化,氣態TMP分子分解釋放出含磷自由基,含磷自由基與氫自由基結合,此反應能降低體系中氫自由基的含量,有效阻止有機溶劑的燃燒或爆炸。雖然TMP同鋰離子一起有向石墨共嵌的趨勢,但是可以通過降低TMP的濃度或使用不規則的碳負極活性物質來減少這種趨勢。
有機氟系阻燃劑
·近年來研究者逐漸將研發重點轉向含氟酯類和醚類有機氟系化合物。氟取代有機溶劑中的氫原子后,溶劑分子的含氫量降低,可燃性降低,閃點升高,添加至電解液中能明顯改善電解液的熱穩定性;同時,借助F元素的吸電子效應,還有利于提高溶劑分子在碳負極表面的還原電位,優化固體電解質界面膜,改善電解液與活性材料的相容性,進而穩定電極的電化學性能;
·氟代環狀碳酸酯類化合物,如一氟代甲基碳酸乙烯酯(CH2F-EC),二二氟代甲基碳酸Z烯酯(CHF2-EC)和三氟代甲基碳酸乙烯酯(CF3-EC)等,都具有較高的閃電和介電常數,都能夠很好的溶解鋰鹽電解質,并與其它有機溶劑互溶,添加此類氟代碳酸酯類化合物表現出了良好的充放電能力,循環性能和阻燃性。
有機氟系阻燃劑
·同時也有學者研究了氟代鏈狀碳酸酯類化合物在鋰電池中的應用,如二氟乙酸甲酯(MFA)和二氟乙酸乙酯(EFA),這些氟代酯類不僅具有良好的高溫性能,而且粘度小,熔點低,低溫性能良好;
·研究氟代醚類化合物阻燃劑,將甲基氟代丁基醚(MFE)添加到LIBETI電解液體系中,發現電解液無閃點,在針刺和過充實驗中均未出現著火現象,電池安全性能大大提高;
·全氟代丁基磺酸鉀(PNB)作為電池的阻燃添加劑,當添加PNB在電解液中的含量在0.8%時,電解液的火焰傳播速率'下降24%,阻燃作用表現非常顯著,150次循環后電池容量沒有明顯的下降;
·有機氟系化合物雖然綜合性能好,但是制造成本普遍偏高,所以真正應用到商業電解液阻燃添加劑的很少,現處于實驗室研究階段;
復合阻燃添加劑
·目前用于鋰電池中的復合磷酸酯類化合物主要是磷氟類化合物,特別是氟代磷酸酯類化合物。
·此類化合物具有P和F兩種阻燃元素,具有協同作用,可降低添加劑用量,可提高阻燃效率;同時F元素的存在有助于電極界面形成優良的SElI膜,改善電解液與活性材料間的相容性,F元素還可以削弱分子間的粘性力,使得分子,離子的遷移阻力減小,進而降低其粘度,改善電解液電導率。
·一系列的氟代烷基磷酸酯類化合物,包括三(2,2,2-三氟乙基)磷酸酯(TFP),二(2,2,2-3三氟乙基)甲基磷酸酯(BMP)和(2,2,2-三氟乙基)二乙基磷酸酯(TDP),測試發現三者均能在保持電解液電化學性能的前提下,具有阻燃性能,并且阻燃效果明顯優于烷基磷酸酯添加劑。
電解液穩定添加劑
穩定添加劑
·鋰離子電池電解質的不穩定性表現在以下兩方面:
(1) LiPF。熱穩定性,極易分解,LiPF。#PFs +LiF;
(2)產物PFs是一種很強的路易斯酸,與有機溶劑發生反應的活性高;而且PFs會使石墨負極表面的SEI膜穩定性惡化,因為PFs 會與Li2CO3 , RCO2Li, ROCO2Li,H2O, 甚至與雜質反應[1].
Li2CO3+ PF5→POF3 +2LiF + CO2
RCO2Li + PFs→RCOF + LiF + POF3
ROCO2Li + PFs→RF + LiF + CO2 + POF3
·上述反應產生了氣體,導致電池內壓升高:負極SEI膜中的LiF含量會升高。
[1] S. S. Zhang, Journal of Power Sources ,162 (2006)1379- -1394
穩定添加劑
提高LiPF。電解液的穩定性有兩個思路:
1.抑制LiPF。的分解
Hiroi[2]在專利中指出,在LiPF6為溶質的電解液中加入0.05wt%的LiF可以有效減少產氣量;根據化學反應平衡原理,LiF 的加入使LiPF6的分解反應受到抑制。
2.另一個方法是在電解液中加入少量的路易斯堿化合物,來減弱PF5的反應活性;由于PFs得電子能力強,很容易與含孤對電子的物質起作用。
[2] O. Hiroi, K. Hamano, U.S. Patent 6305540,2001.
穩定添加劑
·加入的添加劑必須是弱堿性的,否則會促進LiPF:的分解平衡正向移動;如3-(2,2,2-3氟)乙氧基磷(TTFP)[3](A)能與PF;發生較弱作用形成化合物(B) ;
·與-C=O,-P=O等拉電子基團相連的N原子上的未成對電子,能夠與PF5發生作用,減弱PF5的活性,從而達到穩定電解液的目的。
·根據上述原則,許多氨基化合物也能作為LiPF6穩定劑,例如N-甲基-2-、吡咯烷酮[4](C)(NMP),氟化氨基甲酸酯[5](D),六甲基磷酰胺[6](E)(HMPA)。
[3] S.S. Zhang, K. Xu, T.R. Jow, J. Power Sources 113 (2003) 166
[4] X. Wang, H. Naito, J. Electrochem.Soc. 152 (2005) A1996.
[5] K. Appel, S. Pasenok, U.S. Patent 6,159,640 (2000).
[6] W. Li, C. Campion, J. Electrochem. Soc. 152 (2005) A1361.
穩定添加劑

穩定添加劑-吡啶
·WLi[1]在文獻中報道,在1M LiPF6 EC/DMC/DEC為1:1:1的體系電解液,不添加吡啶的電解液在85°C儲存2天,溶液變褐色;加入3wt%的吡啶的電解液在85°C下儲存2天,不變色;繼續加熱24天,電解液保持無色,經檢測未發現電解液分解產物。不過吡啶的加入會導致電池的容量稍有降低。
[1] Wentao Li, Christopher Campion. Joumal of The Electrochemical Society, 152 (7), A1361.A1365 ,2005.
穩定添加劑- HMPA
·另一種穩定添加劑是HMPA;含3wt% HMPA的1M LiPF6 EC/DMC/DEC (1:1:1) 電解液,在85°C 下儲存8800h (366天),電解液不變色,成分分析只檢測到痕量的分解產物。

穩定添加劑- HMPA
·HMOPA也具有穩定電解液的作用;
·含3wt% HMOPA的1M LiPF6 EC/DMC/DEC(1:1:1)電解液,在85°C下儲存2000h83天),電解液不分解不變色;繼續加熱2000h, 發現電解液開始分解。
·經分析,穩定劑失效的原因是,HMOPA在85°C下會逐漸發生結構重排,重排后的產物為氨類物質,不含具有弱堿性的亞胺基中的氮原子,與PF5作用較弱,其穩定電解液的能力較差。奇怪的是,當HMOPA濃度更高時,其穩定電解液的能力變差:含10wt% HMOPA的電解液,在85°C下儲存800h (33天),即發生變色。
穩定添加劑-HMPA
·將含有3wt%HMOPA的電解液組裝成扣式電池,測試發現HMOPA的加入使電池的容量稍有降低(2%)。進-一步的研究發現,HMOPA對減少鋰離子電池滿電高溫儲存的容量損失效果較差;含3wt%HMOPA的電解液和正極材料在85°C下儲存30天,溶液中會出現凝膠;原因是HMOPA與正極作用發生開環反應,這個副反應使HMOPA在難以在實際中得到應用。
穩定添加劑- HMPA

W. Li, C. Campion. J. Electrochem. Soc. 152 (2005) A1361.
除酸除水添加劑
·電解液中HF的存在, 會與SEI膜的成分反應,生成LiF,造成SEI膜的阻抗增大:
·同時HF會與正極材料(如LiMn2O4)反應,造成高價態金屬(Mn)溶解,造成電池容量下降:
·胺類具有一定的堿性,可以與HF發生作用;
除酸除水添加劑-乙醇胺
·左曉希I1研究了乙醇胺作為功能添加劑的性能及對電池性能的影響。電解液采用1 mol/ L LiPF/ EC+ DMC+ EMC;在電解液中加入二次蒸餾水,使其中的水分提高到0.01%,再在部分電解液中添加0.1%的乙醇胺。將電解液在45°C下放置24 h,測試加入0.1%的乙醇胺前后,電解液中的H2O和HF含量。
·電解液中H2O與HF含量的測定結果/10-4%

[1]左曉希.電池,2005年,35卷,第5期,366-367.
乙醇胺
·未加乙醇胺的電解液在高溫下,LiPF:與水反應完全,產生了大量的酸。在加了乙醇胺的電解液中,LiPF6與水的反應比較緩慢,只發生了部分反應,這說明乙醇胺抑制了LiPF9與水的反應,提高了電解液的穩定性。
·乙醇胺的加入不影響電解液與電池正、負極的相容性:在0-4.2V(vs.Li/Li+)的電壓范圍內,乙醇胺沒有在負極發生還原反應,也未在正極上發生氧化反應,具有較好的電化學穩定性。
·乙醇胺具有較好的電化學穩定性,不影響電解液與電池正、負極的相容性。微量(0.1%)乙醇胺的加入,能抑制電解液中LiPF&的水解和熱解反應,提高電解液的貯存穩定性和熱穩定性;有利于SEI膜的穩定,減少了電池在前期循環中的容量衰減。
左曉希。電池,2005年,35卷,第5期,366-367.
乙醇胺
·電解液加入乙醇胺 后對電池穩定性和循環性能的影響; 4種電解液,匹配LiCoO2,復合石墨組成電池:

·循環80次后,使用電解液a、b、c和d的電池的容量衰減率是分別是6.7%、3.0%、17.1%和8.8%。使用電解液d的電池的循環性能比使用電解液c的電池的好;這是由于乙醇胺抑制了水與LiPF。的反應,提高了電解液的穩定性,改善了電池的循環性能。
[1]左曉希。電池,2005年, 35卷,第5期,366-367.
芳香胺
·美國專利21 US 5846673報道,具有芳基或雜環的有機胺類可用于降低電解液的酸度:三丁基胺可有效降低HF的含量,不過它在3.3V
(vs.Li/Li+)會發生氧化反應,不適用于4V級鋰離子電池; 4-(N,N-2甲氨基)吡啶(DMAP),具有較強的抗氧化性,其氧化電位在4.4V左右;
·實施例: 將2w.t.%或5w.t.%的胺 類溶于起始電解液(1M LiPF6,EC/DMC 1:1,起始電解液中HF含量為100ppm),室溫攪拌所得溶液3小時,然后測定每種電解液中的HF含量。
[2]在電化學電池中做添加劑的有機胺類,CN 1343024A.
芳香胺

·從上表可以看到,上述三種胺類降低HF含量的效果均十分明顯。以Pt電極為工作電極,Li電極為對電極和參比電極,對電解液進行循環伏安測試,分別得到他們的氧化電位;DMAP和4-苯基丁胺的氧化電位較高,可用于4V級鋰離子電池;綜合考慮,DMAP的降酸效果最佳。
硫氰酸酯
·國內專利1采用硫氰酸酯、異硫氰酸酯類添加劑作為電池電解液的穩定劑,這種添加劑具有良好的除酸、除水效果,能有效地消除電解液調制后長期儲存時的變色現象;顯著提高高溫條件下電解液的穩定性,甚至在高達90°C的條件下長時間放置后,仍然能夠保持無變色現象,游離酸、水分含量仍然維持在較低的水平,對電池電化學性能無明顯影響。
·在1M LiPF6EC/DMC/DEC (1:1:1) 體系中,加入1wt%硫氰酸甲酯,儲存60天后酸度小于12ppm,水分小于10ppm;
·硫氰酸甲酯的加入能提高LiCoO2石墨體系電池的容量保持率,加入量為0.5wt%時,循環10次后容量保持率比未加添加劑提高了4.5% (由94%提高到98.5%)。
·實驗發現硫氰酸酯具 有較強刺激性。
[1]二次鋰離子電池電解液的制備方法及其設備:申請號: 03113897.7, 2003年。
七甲基二硅氮烷
·添加劑七甲基二硅氮烷的加入,能控制電解液的酸度,使用該電解液制備電池能提高鋰離子電池的循環壽命和高溫儲存性能。
·實施例一: 1M LiPF6 EC/EMC/PC質量比30/60/10, 2 w.t.% VC的電解液中初始水分為132ppm,酸度為9.8ppm;不加添加劑的樣品放置一周后酸度為266.8ppm;加入0.1wt%七甲基二硅氮烷的樣品,一周后的酸度為50.5ppm。
·實施例二: 0.8M LiBF4 EC/PA/DEC/PC質量比為30/10/50/10含2wt%VC,3wt% 1,3-PS并加入1wt%七甲基二二硅氮烷, 滴入一滴蒸餾水,測試樣品中的水分為120.5ppm,HF含量為11.3ppm。放置-周后, HF含量為463ppm;而未加添加劑的樣品酸度上升至243.1ppm。
一種錳酸鋰電池的電解液,申請號: 200810218809.6, 2008年。
浸潤性添加劑
·目前,液態鋰離子電池電解液采用環狀碳酸酯、鏈狀碳酸酯混合溶劑;此類質子惰性溶劑粘度偏高,表面張力偏大;注液時,傾倒性不太好。另一方面,PE、PP隔膜材料與電解液的親和作用小,導致電解液對隔膜的浸潤性較差;由于電池容量的增加,電機組件密度增大,組件與殼體之間的空間很小,使得灌注電解液十分困難。
·質子惰性溶劑對高比表面的正、負極活性材料的潤濕性不太好,這樣會導致電極材料與電解液的接觸電阻偏大,很難滿足動力鋰離子電池內阻小的要求;電解液對電極活性材料的浸潤性差,會影響正負極材料的利用率,不利于電池容量的發揮。
浸潤性添加劑
·通過加入非離子表面活性劑作為潤濕性添加劑,可改善電解液的潤濕性和傾倒能力。
·三星SDI專利1公開了一種包含潤濕性活化劑的鋰離子電池電解液;該電解液具有優異的壽命特性和高溫穩定性并顯示出改進的電解液傾倒性,采用的浸潤性添加劑三烷基磷酸酯(L) 和碳酸二二烷基酯(M) ,結構式如下:

[1]鋰離子二次電池:申請號: 200510107424.9,2005年.
浸潤性添加劑
·電池材料體系為LiCoO2-人造石墨體系;組成為EC/EMC /GBL =3:7:3(體積比)的電解液,其注液時間隨著碳酸二J基酯的含量增大而降低,循環壽命也有所提高;當添加劑含量低于0.1w.t.%時,不能改進電解液的傾倒性和循環壽命,當含量大于10w.t.%時,含量的增加對改善浸潤性沒有效果。加入7w.t.%的碳酸=二丁基酯,注液時間最短,由15min降低至4min。GBL的加入能有效提高電池在高溫儲存和過充電下的安全性能。
·而分別加入3w.t.%的磷酸三丁J 酯和磷酸三辛酯,注液時間分別降低為5.5min、4.5min。 在組成為EC/EMC=3:7(體積比)的電解液中,4w.t.%碳酸二丁基酯的加入不影響電池的循環壽命(90%-89%)。
鋰離子二次電池:申請號: 200510107424.9,2005年.
浸潤性添加劑-氟化醚
·松下專利1公開了一-種非水電解液,該非水電解液含有非水溶劑以及電解質鹽,非水溶劑含有用下述式HCF2CF2CF2CH2-O-CF2CF2H表示的氟化醚。該非水電解液對聚烯烴制隔膜的潤濕性良好,能夠長期賦予電池以良好的負荷特性,在高溫保存下的電池內部不易分解,很少產生伴隨著分解的氣體;并能在負極表面成膜,提高電池循環壽命。
結構式如下:
HCF2CF2CF2CH2-O-CF2CF2H (1)
CF.CFHCF_CH(CH) -0-CF.CFHCF (2a)
CF.CFHCF2CH(CH) -0-CF2CFHC.F (2b)
CF,CFHCF2CH (CH3) -0 -CF2CF.H (2c)
HCF.CH(CH) -0-CF2CFHCF3 (2d)。
[1]非水電解液以及非水電解液二次電池:申請號: 200910224520.X, 2009年11月
浸潤性添加劑-氟化醚
·當含氟醚類(1)和(2a)總含量超過3w.t.%時,電解液顯示出對聚烯烴隔膜表現出良好的浸潤性;當氟化醚含量超過5w.t.%,電解液高溫儲存產氣量顯著降低。
·然而含氟醚類含量的增多,會導致LiPF。溶解量的減少,使電解液鋰離子傳導率下降;結構式為2a、2b、 2c、2d的物質,結構較復雜,對LiPF。的溶解量和鋰離子的傳導率影響較大;結構式(1)代表的物質對Li+傳導率的影響較小,同時因該分子包含的氟原子較多,在負極成膜效果好。
·綜上所述,成分為EC/PC/DMC的電解液中,使用3w.t.%的氟化醚(1)效果對浸潤性的改善效果好,用量為5w.t.%時能顯著改善高溫儲存產氣量。
浸潤性添加劑-硅烷化合物
·國內專利[1]報道了硅烷化合物浸潤性添加劑(含碳氟鍵、碳硅鍵和硅氧鍵);該添加劑可用于解決了超級電容器電解液對電極材料潤濕難的問題,降低了電解液的表面張力,提高了潤濕性,降低了電解液與電極材料的接觸電阻,提高了電極材料的利用率和比電容。

[1]一種超級電容器電解液:申請號: 200910036557.X, 2009年.
浸潤性添加劑-硅烷化合物
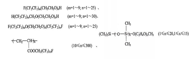
·在1M Et,NBF4/PC電解液中,上述浸潤性添加劑在電解液中的用量為0.05~0.3w.t.%,表面張力隨表面活性劑添加量遞減;加入0.25w.t.%的F(CF2CF2)m(CH2CH2O).H (m=1~9;n=1~25),電解液表面張力降為原來的38.9%。
·F(CF2CF2)m(CH2CH2O).H的效 果優于其他化合物。

三、電化學測試基本方法
電化學測試
·電化學測試簡述:
·電化學測定方法是將化學物質的變化歸結為電化學反應,也就是以體系中的電位、電流或者電量作為體系中發生化學反應的量度進行測定的方法。
·包括:
電流-電位曲線的測定;電極化學反應的電位分析,電極化學反應的電量分析;對被測對象進行微量測定的極譜分析;交流阻抗測試等。
·電化學測試方法的優點:
1.簡單易行。可將一-般難以測定的化學參數直接變換成容易測定的電參數加以測定。
2.靈敏度高。因為電化學反應是按法拉第定律進行的,所以,即使是微量的物質變化也可以通過容易測定到的電流或電量來進行測定。
3.實時性好。利用高精度的特點,可以檢測出微反應量,并對其進行定量。
三電極體系
·三電極體系;
·研究電極上電子的運動是電化學反應的基礎,為了分別對電池或電解池的陰極,陽極發生的反應進行觀察需用到三電極體系。
·電解池陰極表面發生還原反應,陽極表面發生氧化反應。

三電極電解池示意圖
·參比電極,它的作用是為了測量進行這些反應的電極電位的一個基準電極。常用的參比電極有:飽和甘汞電極,氯化銀電極,Li/Li+電極。
·被測定的電極叫做工作電極,與工作電極相對的電極叫做輔助電極。常用的工作電極:Pt電極,玻碳電極,石墨電極等。
·在三電極法中為了能夠在測定工作電極和參比電極之間電壓同時,又能任意調節工作電極的電位,理想的設備為電化學工作站。
常用分析方法-循環伏安法
循環伏安法(CV)原理:
1.施加三角波電壓
2.電壓掃描速度10mV~ 1000mV/s
3固定電極溶液中有氧化態物質O時,在電極上被還原生成還原態R
O+ne-→R
回掃時R被氧化成O
R→O+ne-

循環伏安法的作用
·判斷電極反應可逆程度
·掃描中發生的化學反應
·反應中間體
·相界吸附
·反應機理


A=可逆電極過程;
B=椎可逆電極過程;
C=不可逆電極過程.
φpc=φ1/2-1.11RT/nF
φpa=ρ1/2+1.11RT/nF
△φ=2.22RT/nF =φpa——φpc= 56.5/n(mv)
55~65mv認為可逆,且ipa=ipcv 1/2

石墨電極的循環伏安曲線
電解液分別為添加5%ES和10%SO21.0M LiCIO4/PC

4-鹵代-1,2-二甲氧基苯和1,3-二甲氧基氯代苯在LiPF6/PC/DMC溶液中的循環伏安曲線(Pt電極)
本文鏈接:http://m.ipodev.com{dede:field.arcurl/}
諾信新聞,諾信公司新聞,鋰電池行業新聞,展會新聞
上一篇:鋰離子電池分選方法
下一篇:聚合物鋰電芯和鋰電芯哪個好?






