聚合物鋰電池荷電狀態預測方法及優缺點比較
一、電池荷電狀態(SOC)定義
SOC即State of Charge,指電池的荷電狀態。從電量、能量等不同的角度,SOC有多種不同的定義方式。美國先進電池聯合會(USABC)定義的SOC被廣泛采用,即電池在一定的放電倍率下,剩余電量與相同條件下額定容量的比值。相應的計算公式為:

式中,Qm為電池按照恒定的電流I進行放電時的最大放電容量;Q(In)為在t時間里,標準的放電電流I下電池所釋放的電量。
二、聚合物鋰電池荷電狀態預測方法
聚合物鋰電池的荷電狀態是電池管理系統的重要參數之一,也是整個充放電控制策略和電池均衡工作的依據。但是由于聚合物鋰電池本身結構的復雜性,其荷電狀態不能通過直接測量得到,僅能根據電池的某些外特性,如電池的內阻、開路電壓、溫度、電流等相關參數,利用相關的特性曲線或計算公式完成對荷電狀態的預測工作。
聚合物鋰電池的荷電狀態估算是非線性的,目前常用的方法主要有放電實驗法、開路電壓法、安時積分法、卡爾曼濾波法、神經網絡法等。
1.放電實驗法
放電實驗法的原理是:以恒定的電流使聚合物鋰電池處于不間斷的放電狀態,當放電到達截止電壓時對所放電量進行計算。放電電量值為放電時所采用的恒定電流值與放電時間的乘積值。放電實驗法經常在實驗室條件下估算電池的荷電狀態,并且目前許多鋰電池廠家也采用放電法進行電池的測試。
其顯著優點是方法簡單,估算精度也相對較高。缺點也很突出:不可以帶負載測量,需要占用大量的測量時間,并且放電測量時,必須中斷電池之前進行的工作,使電池置于脫機狀態,因此不能在線測量。放電實驗法不可在電池處于工作狀態下使用,但是可在電池檢修和參數模型的確定中使用。
2.開路電壓法
聚合物鋰電池長時間充分靜置后的各項參數相對穩定,此時的開路電壓與電池荷電狀態間的函數關系也是相對比較穩定的。若想獲得電池的荷電狀態值,只需測得電池兩端的開路電壓,并對照OCV-SOC曲線來獲取相應信息。
開路電壓法的優點是操作簡單,只需測量開路電壓值對照特性曲線圖即可獲得荷電狀態值。但是其缺點有很多:首先此方法要想獲得準確值,必須使電池電壓處于相對穩定狀態,但電池往往需要長時間的靜置,才能處于此狀態,從而無法滿足實時監測要求。
當電池充放電比率不同的情況下,由于電流的波動會使電池開路電壓發生變化,從而導致電池組的開路電壓不一致,使得預測的剩余電量與電池實際剩余電量產生較大偏差。
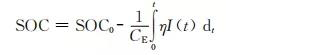
3.安時積分法
安時積分法不考慮聚合物鋰電池內部的作用機理,根據系統的某些外部特征,如電流、時間、溫度補償等,通過對時間和電流進行積分,有時還會加上某些補償系數,來計算流入流出電池的總電量,從而估算電池的荷電狀態。目前安時積分法在電池管理系統中被廣泛應用。安時積分法的計算公式如下:

式中,SOC0是電池電荷狀態的初始電量值;CE是電池的額定容量;I(t)為電池在t時刻的充放電電流;t為充放電的時間;η為充放電效率系數,又被稱作庫倫效率系數,代表了充放電過程中電池內部的電量耗散,一般以充電放電的倍率和溫度修正系數為主。
安時積分法的優點是受電池自身情況的限制相對較小,計算方法簡單、可靠,能夠對電池的荷電狀態進行實時的估算。其缺點是由于安時計量法在控制中屬于開環的檢測,如果電流的采集精度不高,給定的初始荷電狀態有一定誤差,伴隨著系統運行時間的延伸,之前產生的誤差會逐漸累積,從而影響荷電狀態的預測結果。并且由于安時積分法只是從外特性來分析荷電狀態,多環節存在一定誤差。從安時積分法計算公式中可以看出,電池的初始電量對計算結果的準確性影響較大。
為了能使電流測量的精度得到提高,通常采用高性能的電流傳感器來測量電流,但這樣加大了成本。為此,許多學者在應用安時積分法的同時應用開路電壓法,將二者結合。開路電壓法用來估算電池的初始荷電狀態,安時積分法用于實時估算,并且在算式中添加相關修正因子,以提高計算準確性。
4.卡爾曼濾波法
卡爾曼濾波算法是利用時域狀態空間理論的一種最小方差估計,屬于統計估計的范疇,宏觀上就是盡可能減小和消除噪聲對觀測信號的影響,其核心是最優估計,即系統的輸入量在預估基礎上對狀態變量進行的有效修正。
該算法的基本原理是:將噪聲與信號的狀態空間模型作為算法模型,在測量時,應用當前時刻的觀測值與上一時刻的估計值,對狀態變量的估算進行更新。卡爾曼濾波算法對聚合物鋰電池荷電狀態進行預測的實質是安時積分法,同時用測量的電壓值來對初步預測得到的值進行修正。
卡爾曼濾波法的優點是適合計算機對數據進行實時運算處理,應用范圍廣,可以用于非線性系統,對行駛過程中電動汽車的荷電狀態預測具有較好的效果。卡爾曼濾波法的缺點是對電池模型的準確程度依賴較大,為了提高該算法預測結果的準確性和精度,需要建立可靠的電池模型。此外,卡爾曼濾波法的算法相對比較復雜,因此其計算量也相對較大,對運算器的性能有較高要求。
5.神經網絡法
神經網絡的目的是模仿人類的智能行為,通過并行結構與自身較強的學習能力獲得數據表達的能力,能夠在外部激勵存在時給出相應的輸出響應,并具有良好的非線性映射能力。
神經網絡法應用于鋰電池荷電狀態檢測的原理是:將大量相對應的電壓、電流等外部數據以及電池的荷電狀態數據作為訓練樣本,通過神經網絡自身學習過程中輸入信息的正向傳播和誤差傳遞的反向傳播反復進行訓練和修改,在預測的荷電狀態達到設計要求的誤差范圍內時,通過輸入新的數據來得到電池的荷電狀態預測值。
神經網絡法的優點是可以對各種電池的荷電狀態進行估算,適用范圍廣;不需要建立特定的數學模型,不用考慮電池內部復雜的化學變化過程,只需選擇合適的樣本,以及建立較好的神經網絡模型,并且樣本數據越多,其估算的精度越高;能夠隨時確定電池的荷電狀態。神經網絡法的缺點是對硬件要求較高,訓練時所采用的數據樣本的準確性、樣本容量和樣本分布以及訓練方法都會對電池的荷電狀態預測產生很大的影響。
三、總結
本文對目前幾種主要的聚合物鋰電池荷電狀態預測方法做了簡單的介紹,詳細分析了它們各自的優缺點。從發展趨勢來看,鋰電池的荷電狀態預測考慮的因素越來越全面,所采用的預測方法往往是前述好幾種方法的綜合應用,使得預測結果更加準確。
本文鏈接:http://m.ipodev.com{dede:field.arcurl/}
諾信新聞,諾信公司新聞,鋰電池行業新聞,展會新聞






